[最も共有された! √] if x 2xy-y^2=2 at the point (1 1) dy/dx is 235360-X 2 y 2 z 2 2xyz
If X 2y 3x Y 3 3 Then At The Point 1 2 Dy Dx Brainly Com
Correct option is E) Given, x 22xy2y 2=1 Put y=1, x 22x(1)2(1) 2=1 ⇒x 22x1=0 ⇒(x1) 2=0 ⇒x=−1 On differentiating Eq (i) wrt x, we get 2x2x dxdy2y4y dxdy=−0 ⇒2Point of Diminishing Return Conversions Decimal to Fraction Fraction to Decimal Radians to Degrees Degrees to Radians Hexadecimal Scientific Notation Distance Weight Time
X 2 y 2 z 2 2xyz
X 2 y 2 z 2 2xyz- Locus of centre of a circle which touches the line x y = 0 and yaxis, is (1) x^2 2xy y^2 = 0 (2) x^2 2xy y^2 = 0 asked Jul 4 in Mathematics by SujitTiwari ( 505k points) jeeAnswer (1 of 4) So we have an equation of the form, M(x,y)\text{d}xN(x,y)\text{d}y=0 Where M=(xy)^2,N=(2xyx^21) Thus this is an exact differential equation as \dfrac{\partial
If X 2 2xy 2y 2 1 Then Dydx At The Point Where Y 1 Is Equal To
First week only $499! I'm at the beggining of a differential equations course, and I'm stuck solving this equation $$(x^2y^2)dx2xy\ dy=0$$ I'm asked to solve it using 2 different methods I proved IMultiply by y/y first Note from our relation 2y^2\log yx^2=0 that adding x^2 to both sides yields 2y^2\log y=x^2 Substitute for 2y^2\log y and you are done
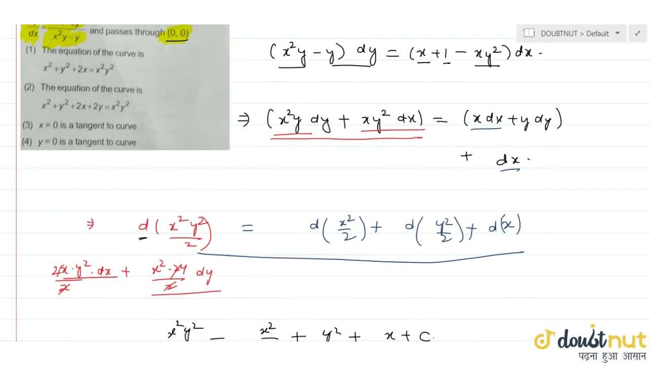
$\frac{dy}{dx}=\frac{x^2y^2}{2xy} $(i) This is a homogeneous differential equation because it has homogeneous functions of same degree 2 homogeneous functions are=0 when =1 (1 x2) 2xy = 1 1 ex 96, 14 for each of the differential equations given in exercises 13 to 15 , find a particular solution satisfy the given condition 1 2 2 = 1 1 2 ;
X 2 y 2 z 2 2xyzのギャラリー
各画像をクリックすると、ダウンロードまたは拡大表示できます
Q Tbn And9gct5mlkqkmaoqxymruwdfjeosd4plnrfcl7z9byrebyie51gsqhvbxpo Usqp Cau | ![]() Q Tbn And9gct5mlkqkmaoqxymruwdfjeosd4plnrfcl7z9byrebyie51gsqhvbxpo Usqp Cau | Q Tbn And9gct5mlkqkmaoqxymruwdfjeosd4plnrfcl7z9byrebyie51gsqhvbxpo Usqp Cau |
Q Tbn And9gct5mlkqkmaoqxymruwdfjeosd4plnrfcl7z9byrebyie51gsqhvbxpo Usqp Cau | Q Tbn And9gct5mlkqkmaoqxymruwdfjeosd4plnrfcl7z9byrebyie51gsqhvbxpo Usqp Cau | Q Tbn And9gct5mlkqkmaoqxymruwdfjeosd4plnrfcl7z9byrebyie51gsqhvbxpo Usqp Cau |
Q Tbn And9gct5mlkqkmaoqxymruwdfjeosd4plnrfcl7z9byrebyie51gsqhvbxpo Usqp Cau | ![]() Q Tbn And9gct5mlkqkmaoqxymruwdfjeosd4plnrfcl7z9byrebyie51gsqhvbxpo Usqp Cau | ![]() Q Tbn And9gct5mlkqkmaoqxymruwdfjeosd4plnrfcl7z9byrebyie51gsqhvbxpo Usqp Cau |
![]() Q Tbn And9gct5mlkqkmaoqxymruwdfjeosd4plnrfcl7z9byrebyie51gsqhvbxpo Usqp Cau | Q Tbn And9gct5mlkqkmaoqxymruwdfjeosd4plnrfcl7z9byrebyie51gsqhvbxpo Usqp Cau | Q Tbn And9gct5mlkqkmaoqxymruwdfjeosd4plnrfcl7z9byrebyie51gsqhvbxpo Usqp Cau |
Q Tbn And9gct5mlkqkmaoqxymruwdfjeosd4plnrfcl7z9byrebyie51gsqhvbxpo Usqp Cau | Q Tbn And9gct5mlkqkmaoqxymruwdfjeosd4plnrfcl7z9byrebyie51gsqhvbxpo Usqp Cau | ![]() Q Tbn And9gct5mlkqkmaoqxymruwdfjeosd4plnrfcl7z9byrebyie51gsqhvbxpo Usqp Cau |
Q Tbn And9gct5mlkqkmaoqxymruwdfjeosd4plnrfcl7z9byrebyie51gsqhvbxpo Usqp Cau | Q Tbn And9gct5mlkqkmaoqxymruwdfjeosd4plnrfcl7z9byrebyie51gsqhvbxpo Usqp Cau | ![]() Q Tbn And9gct5mlkqkmaoqxymruwdfjeosd4plnrfcl7z9byrebyie51gsqhvbxpo Usqp Cau |
![]() Q Tbn And9gct5mlkqkmaoqxymruwdfjeosd4plnrfcl7z9byrebyie51gsqhvbxpo Usqp Cau | Q Tbn And9gct5mlkqkmaoqxymruwdfjeosd4plnrfcl7z9byrebyie51gsqhvbxpo Usqp Cau | ![]() Q Tbn And9gct5mlkqkmaoqxymruwdfjeosd4plnrfcl7z9byrebyie51gsqhvbxpo Usqp Cau |
![]() Q Tbn And9gct5mlkqkmaoqxymruwdfjeosd4plnrfcl7z9byrebyie51gsqhvbxpo Usqp Cau | Q Tbn And9gct5mlkqkmaoqxymruwdfjeosd4plnrfcl7z9byrebyie51gsqhvbxpo Usqp Cau | Q Tbn And9gct5mlkqkmaoqxymruwdfjeosd4plnrfcl7z9byrebyie51gsqhvbxpo Usqp Cau |
![]() Q Tbn And9gct5mlkqkmaoqxymruwdfjeosd4plnrfcl7z9byrebyie51gsqhvbxpo Usqp Cau | ![]() Q Tbn And9gct5mlkqkmaoqxymruwdfjeosd4plnrfcl7z9byrebyie51gsqhvbxpo Usqp Cau | ![]() Q Tbn And9gct5mlkqkmaoqxymruwdfjeosd4plnrfcl7z9byrebyie51gsqhvbxpo Usqp Cau |
![]() Q Tbn And9gct5mlkqkmaoqxymruwdfjeosd4plnrfcl7z9byrebyie51gsqhvbxpo Usqp Cau | Q Tbn And9gct5mlkqkmaoqxymruwdfjeosd4plnrfcl7z9byrebyie51gsqhvbxpo Usqp Cau | ![]() Q Tbn And9gct5mlkqkmaoqxymruwdfjeosd4plnrfcl7z9byrebyie51gsqhvbxpo Usqp Cau |
![]() Q Tbn And9gct5mlkqkmaoqxymruwdfjeosd4plnrfcl7z9byrebyie51gsqhvbxpo Usqp Cau | Q Tbn And9gct5mlkqkmaoqxymruwdfjeosd4plnrfcl7z9byrebyie51gsqhvbxpo Usqp Cau | ![]() Q Tbn And9gct5mlkqkmaoqxymruwdfjeosd4plnrfcl7z9byrebyie51gsqhvbxpo Usqp Cau |
Q Tbn And9gct5mlkqkmaoqxymruwdfjeosd4plnrfcl7z9byrebyie51gsqhvbxpo Usqp Cau | ![]() Q Tbn And9gct5mlkqkmaoqxymruwdfjeosd4plnrfcl7z9byrebyie51gsqhvbxpo Usqp Cau | ![]() Q Tbn And9gct5mlkqkmaoqxymruwdfjeosd4plnrfcl7z9byrebyie51gsqhvbxpo Usqp Cau |
![]() Q Tbn And9gct5mlkqkmaoqxymruwdfjeosd4plnrfcl7z9byrebyie51gsqhvbxpo Usqp Cau | ![]() Q Tbn And9gct5mlkqkmaoqxymruwdfjeosd4plnrfcl7z9byrebyie51gsqhvbxpo Usqp Cau | ![]() Q Tbn And9gct5mlkqkmaoqxymruwdfjeosd4plnrfcl7z9byrebyie51gsqhvbxpo Usqp Cau |
![]() Q Tbn And9gct5mlkqkmaoqxymruwdfjeosd4plnrfcl7z9byrebyie51gsqhvbxpo Usqp Cau | Q Tbn And9gct5mlkqkmaoqxymruwdfjeosd4plnrfcl7z9byrebyie51gsqhvbxpo Usqp Cau | Q Tbn And9gct5mlkqkmaoqxymruwdfjeosd4plnrfcl7z9byrebyie51gsqhvbxpo Usqp Cau |
Q Tbn And9gct5mlkqkmaoqxymruwdfjeosd4plnrfcl7z9byrebyie51gsqhvbxpo Usqp Cau | Q Tbn And9gct5mlkqkmaoqxymruwdfjeosd4plnrfcl7z9byrebyie51gsqhvbxpo Usqp Cau | ![]() Q Tbn And9gct5mlkqkmaoqxymruwdfjeosd4plnrfcl7z9byrebyie51gsqhvbxpo Usqp Cau |
![]() Q Tbn And9gct5mlkqkmaoqxymruwdfjeosd4plnrfcl7z9byrebyie51gsqhvbxpo Usqp Cau | ![]() Q Tbn And9gct5mlkqkmaoqxymruwdfjeosd4plnrfcl7z9byrebyie51gsqhvbxpo Usqp Cau | Q Tbn And9gct5mlkqkmaoqxymruwdfjeosd4plnrfcl7z9byrebyie51gsqhvbxpo Usqp Cau |
Q Tbn And9gct5mlkqkmaoqxymruwdfjeosd4plnrfcl7z9byrebyie51gsqhvbxpo Usqp Cau | ![]() Q Tbn And9gct5mlkqkmaoqxymruwdfjeosd4plnrfcl7z9byrebyie51gsqhvbxpo Usqp Cau | Q Tbn And9gct5mlkqkmaoqxymruwdfjeosd4plnrfcl7z9byrebyie51gsqhvbxpo Usqp Cau |
Q Tbn And9gct5mlkqkmaoqxymruwdfjeosd4plnrfcl7z9byrebyie51gsqhvbxpo Usqp Cau | ![]() Q Tbn And9gct5mlkqkmaoqxymruwdfjeosd4plnrfcl7z9byrebyie51gsqhvbxpo Usqp Cau | ![]() Q Tbn And9gct5mlkqkmaoqxymruwdfjeosd4plnrfcl7z9byrebyie51gsqhvbxpo Usqp Cau |
Q Tbn And9gct5mlkqkmaoqxymruwdfjeosd4plnrfcl7z9byrebyie51gsqhvbxpo Usqp Cau | Q Tbn And9gct5mlkqkmaoqxymruwdfjeosd4plnrfcl7z9byrebyie51gsqhvbxpo Usqp Cau | Q Tbn And9gct5mlkqkmaoqxymruwdfjeosd4plnrfcl7z9byrebyie51gsqhvbxpo Usqp Cau |
Q Tbn And9gct5mlkqkmaoqxymruwdfjeosd4plnrfcl7z9byrebyie51gsqhvbxpo Usqp Cau | Q Tbn And9gct5mlkqkmaoqxymruwdfjeosd4plnrfcl7z9byrebyie51gsqhvbxpo Usqp Cau | ![]() Q Tbn And9gct5mlkqkmaoqxymruwdfjeosd4plnrfcl7z9byrebyie51gsqhvbxpo Usqp Cau |
Q Tbn And9gct5mlkqkmaoqxymruwdfjeosd4plnrfcl7z9byrebyie51gsqhvbxpo Usqp Cau | Q Tbn And9gct5mlkqkmaoqxymruwdfjeosd4plnrfcl7z9byrebyie51gsqhvbxpo Usqp Cau | ![]() Q Tbn And9gct5mlkqkmaoqxymruwdfjeosd4plnrfcl7z9byrebyie51gsqhvbxpo Usqp Cau |
Q Tbn And9gct5mlkqkmaoqxymruwdfjeosd4plnrfcl7z9byrebyie51gsqhvbxpo Usqp Cau | Q Tbn And9gct5mlkqkmaoqxymruwdfjeosd4plnrfcl7z9byrebyie51gsqhvbxpo Usqp Cau | Q Tbn And9gct5mlkqkmaoqxymruwdfjeosd4plnrfcl7z9byrebyie51gsqhvbxpo Usqp Cau |
![]() Q Tbn And9gct5mlkqkmaoqxymruwdfjeosd4plnrfcl7z9byrebyie51gsqhvbxpo Usqp Cau | Q Tbn And9gct5mlkqkmaoqxymruwdfjeosd4plnrfcl7z9byrebyie51gsqhvbxpo Usqp Cau | Q Tbn And9gct5mlkqkmaoqxymruwdfjeosd4plnrfcl7z9byrebyie51gsqhvbxpo Usqp Cau |
![]() Q Tbn And9gct5mlkqkmaoqxymruwdfjeosd4plnrfcl7z9byrebyie51gsqhvbxpo Usqp Cau | Q Tbn And9gct5mlkqkmaoqxymruwdfjeosd4plnrfcl7z9byrebyie51gsqhvbxpo Usqp Cau | Q Tbn And9gct5mlkqkmaoqxymruwdfjeosd4plnrfcl7z9byrebyie51gsqhvbxpo Usqp Cau |
Q Tbn And9gct5mlkqkmaoqxymruwdfjeosd4plnrfcl7z9byrebyie51gsqhvbxpo Usqp Cau | ![]() Q Tbn And9gct5mlkqkmaoqxymruwdfjeosd4plnrfcl7z9byrebyie51gsqhvbxpo Usqp Cau | Q Tbn And9gct5mlkqkmaoqxymruwdfjeosd4plnrfcl7z9byrebyie51gsqhvbxpo Usqp Cau |
Q Tbn And9gct5mlkqkmaoqxymruwdfjeosd4plnrfcl7z9byrebyie51gsqhvbxpo Usqp Cau | Q Tbn And9gct5mlkqkmaoqxymruwdfjeosd4plnrfcl7z9byrebyie51gsqhvbxpo Usqp Cau | Q Tbn And9gct5mlkqkmaoqxymruwdfjeosd4plnrfcl7z9byrebyie51gsqhvbxpo Usqp Cau |
Q Tbn And9gct5mlkqkmaoqxymruwdfjeosd4plnrfcl7z9byrebyie51gsqhvbxpo Usqp Cau | ![]() Q Tbn And9gct5mlkqkmaoqxymruwdfjeosd4plnrfcl7z9byrebyie51gsqhvbxpo Usqp Cau | ![]() Q Tbn And9gct5mlkqkmaoqxymruwdfjeosd4plnrfcl7z9byrebyie51gsqhvbxpo Usqp Cau |
Q Tbn And9gct5mlkqkmaoqxymruwdfjeosd4plnrfcl7z9byrebyie51gsqhvbxpo Usqp Cau | Q Tbn And9gct5mlkqkmaoqxymruwdfjeosd4plnrfcl7z9byrebyie51gsqhvbxpo Usqp Cau | Q Tbn And9gct5mlkqkmaoqxymruwdfjeosd4plnrfcl7z9byrebyie51gsqhvbxpo Usqp Cau |
Q Tbn And9gct5mlkqkmaoqxymruwdfjeosd4plnrfcl7z9byrebyie51gsqhvbxpo Usqp Cau | Q Tbn And9gct5mlkqkmaoqxymruwdfjeosd4plnrfcl7z9byrebyie51gsqhvbxpo Usqp Cau | Q Tbn And9gct5mlkqkmaoqxymruwdfjeosd4plnrfcl7z9byrebyie51gsqhvbxpo Usqp Cau |
Q Tbn And9gct5mlkqkmaoqxymruwdfjeosd4plnrfcl7z9byrebyie51gsqhvbxpo Usqp Cau | Q Tbn And9gct5mlkqkmaoqxymruwdfjeosd4plnrfcl7z9byrebyie51gsqhvbxpo Usqp Cau | Q Tbn And9gct5mlkqkmaoqxymruwdfjeosd4plnrfcl7z9byrebyie51gsqhvbxpo Usqp Cau |
![]() Q Tbn And9gct5mlkqkmaoqxymruwdfjeosd4plnrfcl7z9byrebyie51gsqhvbxpo Usqp Cau | ![]() Q Tbn And9gct5mlkqkmaoqxymruwdfjeosd4plnrfcl7z9byrebyie51gsqhvbxpo Usqp Cau | ![]() Q Tbn And9gct5mlkqkmaoqxymruwdfjeosd4plnrfcl7z9byrebyie51gsqhvbxpo Usqp Cau |
![]() Q Tbn And9gct5mlkqkmaoqxymruwdfjeosd4plnrfcl7z9byrebyie51gsqhvbxpo Usqp Cau | ![]() Q Tbn And9gct5mlkqkmaoqxymruwdfjeosd4plnrfcl7z9byrebyie51gsqhvbxpo Usqp Cau | ![]() Q Tbn And9gct5mlkqkmaoqxymruwdfjeosd4plnrfcl7z9byrebyie51gsqhvbxpo Usqp Cau |
Q Tbn And9gct5mlkqkmaoqxymruwdfjeosd4plnrfcl7z9byrebyie51gsqhvbxpo Usqp Cau | Q Tbn And9gct5mlkqkmaoqxymruwdfjeosd4plnrfcl7z9byrebyie51gsqhvbxpo Usqp Cau | Q Tbn And9gct5mlkqkmaoqxymruwdfjeosd4plnrfcl7z9byrebyie51gsqhvbxpo Usqp Cau |
![]() Q Tbn And9gct5mlkqkmaoqxymruwdfjeosd4plnrfcl7z9byrebyie51gsqhvbxpo Usqp Cau | Q Tbn And9gct5mlkqkmaoqxymruwdfjeosd4plnrfcl7z9byrebyie51gsqhvbxpo Usqp Cau | ![]() Q Tbn And9gct5mlkqkmaoqxymruwdfjeosd4plnrfcl7z9byrebyie51gsqhvbxpo Usqp Cau |
Q Tbn And9gct5mlkqkmaoqxymruwdfjeosd4plnrfcl7z9byrebyie51gsqhvbxpo Usqp Cau | ![]() Q Tbn And9gct5mlkqkmaoqxymruwdfjeosd4plnrfcl7z9byrebyie51gsqhvbxpo Usqp Cau |
asked in Mathematics by kajalk (780k points) If (x 2 y 2) 2 = xy, find dy/dx cbse;Solve dy/dx=2xy/(x^2y^2) Expert Solution Want to see the full answer?
Incoming Term: x 2 y 2 dx 2xy dy, x2 y2 dx 2xy dy 0 1, for x 1 if 2x 2y, y x y x about x 2, if y x x then dy dx, if x dy y x find dx, x 2 y 2 z 2 2xyz, int x 1 y 2 x y, what is y when x 2, x 2 dy xy y2 dx 0, y x2 x y2 about y 1, if 2 x then x 2,











































コメント
コメントを投稿